
2026年1月13日,中国科学院地质与地球物理研究所田恒次研究员团队通过对嫦娥六号采集的月球背面样品的高精度钾同位素分析,首次揭示南极-艾特肯盆地撞击事件导致月幔中等挥发性元素丢失。这为理解大型撞击对月球演化的影响,以及揭示月球二分性的成因提供了重要依据。相关研究成果发表于国际学术期刊《美国国家科学院院刊》。
2026年春考有7万余名考生报名参加
今天,市教委公布2026年上海市普通高校春季考试招生志愿填报最低成绩控制线为:251分。按照既定日程,春季招生志愿填报安排于2026年1月30日9:00-22:00,1月31日9:00-16:00在上海市教育考试院“上海招考热线”网站上进行。
2026年上海市普通高校春季考试招生采用“统一文化考试+院校自主测试”的模式。考生语文、数学、外语统一文化考试成绩总分(含政策性加分)须达到志愿填报最低成绩控制线,其中应届高中毕业考生还须取得思想政治、历史、地理、物理、化学、生物学、信息技术7门科目高中学业水平合格性考试的全部合格成绩,方有资格参加春考志愿填报。
今年春考比去年增加100个计划
2026年春考有7万余名考生报名参加,同时段还进行了2026年统一高考外语科目考试(1月)和高中学业水平语文、数学、外语合格性考试。全市各级教育、考试部门及保障单位协同配合,确保了考试组织等各项工作落实到位,考试安全平稳。
今年,上海有26所试点院校参加春季招生,116个招生专业均为各校特色专业或应用型本科试点专业,共计3639个招生计划,与2025年相比,增加了100个计划。
2026年春季招生中,久联优配部分院校新增了招生专业,比如上海大学的“数学与应用数学”“机器人工程”专业;上海应用技术大学的“园艺”专业;上海工程技术大学的“交通运输”专业;上海电机学院的“电气工程及其自动化”专业;上海戏剧学院的“戏剧学”“戏剧教育”“数字演艺设计”“广播电视编导”“影视摄影与制作”专业;上海杉达学院的“土木工程”专业;上海外国语大学贤达经济人文学院的“阿拉伯语”“艺术教育”“新闻学(双语班)”“商务英语”“国际经济与贸易(全英语教学班)”专业;上海师范大学天华学院的“应用心理学(中外合作办学)”专业;上海立达学院的“应用心理学”“广播电视编导”专业,以及上海中侨职业技术大学的“工程造价”“人工智能工程技术”“食品营养与健康(中外合作办学)”专业等。
春招继续采取“一档两投”的投档方式
今年,春季招生继续采取“一档两投”的投档方式。具有春季招生志愿填报资格的考生最多可以填报2个专业志愿。这2个专业志愿可以是同一所院校的2个专业,也可以是2所院校的各1个专业。待志愿填报结束后,各招生院校会根据填报志愿考生成绩及公布的招生计划按相应比例划定自主测试资格线。
根据市教委文件规定,各院校确定自主测试资格线时必须遵守以下原则:即公办院校通知参加自主测试的考生数不得超过公布计划数的2倍,民办院校通知参加自主测试的考生数不得超过公布计划数的3倍。
2月5日,各招生院校公布各招生专业的自主测试资格线及测试安排。自主测试一般分为面试、技能测试、专业素质综合测试以及笔试面试相结合的方式进行。
委文件规定,参加春季招生志愿填报并获得院校自主测试资格的考生,如果没有参加院校自主测试,其自主测试成绩按零分计入总分,并参与院校后续录取排序。所以要特别提醒考生,务必根据个人意向,填报愿意就读的春季招生志愿。
根据市教委文件规定,通过春季考试招生录取的考生(含列入候补资格名单并最终被录取的考生)视为已被高校录取。考生无论是否与院校确认录取,一律不得参加《上海市教育委员会关于做好2026年上海市普通高校考试招生报名工作的通知》(沪教委学〔2025〕47号)规定的其他考试(包括2026年专科层次依法自主招生、秋季统一高考等)。
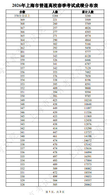
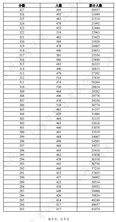
【相关链接】2026年上海市普通高校春季考试成绩分布表



久联优配提示:文章来自网络,不代表本站观点。